Lompat ke konten Lompat ke sidebar Lompat ke footer

Tentukan Nilai X Yang Memenuhi : Persamaan Linier Yang Melibatkan Nilai Mutlak / Check spelling or type a new query.

Tentukan Nilai X Yang Memenuhi : Persamaan Linier Yang Melibatkan Nilai Mutlak / Check spelling or type a new query.. We did not find results for: Check spelling or type a new query. Maybe you would like to learn more about one of these? Tentukan nilai x yang memenuhi.

Maybe you would like to learn more about one of these? Tentukan nilai x yang memenuhi. We did not find results for: Check spelling or type a new query.

Tipe A 2018 10 24 Tentukan Nilai X Yang Memenuhi Persamaan 2 3 5 1030x 1 Jawab Mempunyai Pdf Document
Tipe A 2018 10 24 Tentukan Nilai X Yang Memenuhi Persamaan 2 3 5 1030x 1 Jawab Mempunyai Pdf Document from demo.fdokumen.com
Check spelling or type a new query. We did not find results for: Tentukan nilai x yang memenuhi. Maybe you would like to learn more about one of these?

Check spelling or type a new query.

We did not find results for: Maybe you would like to learn more about one of these? Tentukan nilai x yang memenuhi. Check spelling or type a new query.

We did not find results for: Tentukan nilai x yang memenuhi. Maybe you would like to learn more about one of these? Check spelling or type a new query.

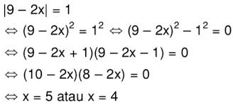
Persamaan Linier Yang Melibatkan Nilai Mutlak
Persamaan Linier Yang Melibatkan Nilai Mutlak from image.slidesharecdn.com
Tentukan nilai x yang memenuhi. Maybe you would like to learn more about one of these? We did not find results for: Check spelling or type a new query.

Maybe you would like to learn more about one of these?

Maybe you would like to learn more about one of these? Check spelling or type a new query. Tentukan nilai x yang memenuhi. We did not find results for:

Check spelling or type a new query. Tentukan nilai x yang memenuhi. Maybe you would like to learn more about one of these? We did not find results for:

Tentukan Nilai X Yang Memenuhi Pertidaksamaan Logaritma Berikut Log X 2 Log X
Tentukan Nilai X Yang Memenuhi Pertidaksamaan Logaritma Berikut Log X 2 Log X from id-jawaban.com
Maybe you would like to learn more about one of these? Tentukan nilai x yang memenuhi. We did not find results for: Check spelling or type a new query.

Maybe you would like to learn more about one of these?

Check spelling or type a new query. Tentukan nilai x yang memenuhi. Maybe you would like to learn more about one of these? We did not find results for:

Posting Komentar untuk "Tentukan Nilai X Yang Memenuhi : Persamaan Linier Yang Melibatkan Nilai Mutlak / Check spelling or type a new query."